Framework for action
For the Implementation of the International Strategy for Disaster Reduction (ISDR)
June, 2001
INTRODUCTION 
In many parts of the world, disasters caused by natural hazards such as earthquakes, floods, landslides, drought, wildfires, tropical cyclones and associated storm surges, tsunami and volcanic eruptions have exacted a heavy toll in terms of the loss of human lives and the destruction of economic and social infrastructure, not to mention their negative impact on already fragile ecosystems. Indeed, the period between 1960 and 2000, witnessed a significant increase in the occurrence, severity and intensity of disasters, especially during the 1990s. This trend poses a major threat to sustainable development and therefore urgently needs to be addressed by the international community.
While natural hazards will continue to exist, human action can either increase or reduce the vulnerability of societies to these hazards and related technological and environmental disasters by focusing on socio-economic factors determining such vulnerability. For example, population growth as well as changing demographic and economic patterns, which have led to uncontrolled urbanization, together with widespread poverty have forced large numbers of people to live in disaster-prone areas and badly constructed shelters, thus increasing vulnerability. On the other hand, there is considerable scope for the reduction of risk through the application of disaster prevention and mitigation efforts based, for instance, on modern forecasting technology. Also, the development of early warning systems as well as improved land use planning and building practices can make a considerable difference, provided that societies ensure the application of these practices in a manner consistent with the needs of sustainable development.
These considerations led the international community to launch the International Decade for Natural Disaster Reduction (IDNDR, 1990 - 1999) in order to increase awareness of the importance of disaster reduction. The experience of the Decade has prompted a major conceptual shift from disaster response to disaster reduction underscoring the crucial role of human action.
The emphasis on disaster response, the main area of focus in the past, has absorbed significant amounts of resources, which would normally be allocated to development efforts. If this trend were to continue, the coping capacities of societies in both developed and developing countries are likely to be overwhelmed. Under these circumstances, a practical alternative is to promote and support an international disaster reduction strategy, and initiatives carried out within this framework, to enable societies to become resilient to the negative impact of natural hazards and related environmental and technological disasters. The International Strategy for Disaster Reduction (ISDR), as the successor arrangement to the IDNDR, is set up to respond to this need by proceeding from disaster response to the management of risk through the integration of risk reduction into sustainable development.
Since disaster prevention and disaster reduction are often used interchangeably, the nature of the relationship between these two concepts should be clarified. In the more restrictive sense of the term, disaster prevention can be seen as the adoption of measures aimed at avoiding disasters, which, unfortunately, is not always possible. On the other hand, disaster reduction in the narrow sense of the word refers to measures to reduce or limit the severity of disasters. However, in the broader sense of the word, disaster reduction involves all measures designed to avoid or limit the adverse impact of natural hazards and related environmental and technological disasters. Viewed in these terms, disaster reduction includes disaster prevention and, as the name of the Strategy suggests, is used here as the all-encompassing concept.
The Framework for Action embodied in this document reflects the conceptual underpinnings of the ISDR and identifies the supporting institutional arrangements based on resolutions of the United Nations Economic and Social Council (ECOSOC) and General Assembly (GA), as well as on decisions of the Inter-Agency Task Force for Disaster Reduction (IATF).
It should be noted that the present Framework for Action is part of an evolving process reflecting changes and emerging trends in the field of disaster reduction and will therefore be reviewed on a regular basis in order to fully respond to needs and constraints arising over time.
Part I provides a brief definition of the main concepts involved in disaster reduction (i.e. natural hazards, vulnerability and risks). It also outlines the vision of disaster reduction embodied in the ISDR, based on the IDNDR experience, the Yokohama Strategy (1994) and the strategy “A Safer World in the 21st Century: Disaster and Risk Reduction”. The latter has been adopted by the participants of the IDNDR Programme Forum in July 1999 and endorsed by the ECOSOC (E/Res/1999/63) as well as by an omnibus resolution of the General Assembly (A/Res/54/219) in accordance with the recommendation of the Secretary General’s Report on the successor arrangements to IDNDR (A/54/497). Lastly, it recalls the request by the General Assembly for the ISDR to continue international cooperation on El Niño (A/Res/54/220) and strengthen disaster reduction capacities through Early Warning (A/Res/54/219).
Part II describes the institutional arrangements for the implementation of the ISDR, focusing in particular on the Inter-Agency Task Force and the Inter-Agency Secretariat of the ISDR.
The Annex shows the proposed ISDR Framework for Action in a diagram.
PART I
1. DEFINITION 
The International Strategy for Disaster Reduction revolves around three major concepts, namely natural hazards, vulnerability and risk, for which the following definitions apply:
- NATURAL HAZARDS comprise phenomena such as earthquakes; volcanic activity; landslides; tsunamis; tropical cyclones and other severe storms; tornadoes and high winds; river floods and coastal flooding; wildfires and associated haze; drought; sand/dust storm; infestations.
- VULNERABILITY to disasters is a function of human actions and behaviour. It describes the degree to which a socio-economic system is either susceptible or resilient to the impact of natural hazards and related technological and environmental disasters. The degree of vulnerability is determined by a combination of several factors including hazard awareness, the condition of human settlements and infrastructure, public policy and administration, and organized abilities in all fields of disaster management. Poverty is also one of the main causes of vulnerability in most parts of the world.
- The RISK of a disaster is the probability of a disaster occurring. The evaluation of a risk includes vulnerability assessment and impact prediction taking into account thresholds that define acceptable risk for a given society.
In this context, a NATURAL DISASTER is to be understood as the consequences of the impact of a natural hazard on a socio-economic system with a given level of vulnerability which prevents the affected society from coping adequately with this impact. The ISDR encompasses TECHNOLOGICAL AND ENVIRONMENTAL DISASTERS only when caused by natural hazards. The expression “natural hazards and related technological and environmental disasters” therefore describes situations where natural disasters have been compounded by the occurrence of technological and environmental damages
2. THE CONCEPT OF DISASTER REDUCTION EMBODIED IN THE ISDR 
The Geneva Mandate on Disaster Reduction, which was adopted at the IDNDR Programme Forum (July 1999), reaffirms the need for disaster reduction and risk management to become essential elements of government policies. In this respect, the IDNDR experience, the Yokohama Strategy (1994) and the Strategy “A Safer World in the 21st Century: Disaster and Risk Reduction” (1999) provide the basis for future endeavors with regard to disaster reduction. Building on these precedents, the ISDR will strive towards:
Enabling all societies to become resilient to natural hazards and related technological and environmental disasters, in order to reduce environmental, human, economic and social losses.
This vision will be realised by focusing on the following four objectives:
- Increasing public awareness;
- Obtaining commitment from public authorities;
- Stimulating interdisciplinary and intersectoral partnership and expanding risk reduction networking at all levels;
- Further improving scientific knowledge of the causes of disasters and the effects of natural hazards and related technological and environmental disasters on societies.
In addition, the General Assembly separately mandated the ISDR:
- • continue international cooperation to reduce the impacts of El Niño and other climate variability;
- strengthen disaster reduction capacities through early warning.
2.1 ISDR's Vision 
| To enable all societies to become resilient to natural hazards and related technological and environmental disasters, in order to reduce environmental, human, economic and social losses |
|
The capacity of human societies to withstand disasters – “resilience”- is determined by the internal strengths and weaknesses of a given society. To understand these internal dynamics, a variety of factors, including social and economic disparities within the community, need to be taken into account.
The impact of any disaster is felt directly in terms of immediate human suffering as well as economic and social losses. In many regions of the world, it aggravates poverty, which has been recognized as a major cause of vulnerability. In the medium and long-term it affects vital sectors of the economy including industry, agriculture, health and education.
Appropriate disaster reduction strategies and initiatives at the national and international level, as well as the implementation of Agenda 21, can strengthen the likelihood of reducing or mitigating the human, economic and social losses caused by disasters, and thereby facilitate sustained growth.
These strategies, in turn, require standardized concepts. As illustrated by the IDNDR experience, local, national, regional and global constituencies should adopt common standards which can quantify losses and assist in setting priorities to improve planning, policy development, programme formulation and implementation.
The participation of communities has proved to be an essential element for successful disaster reduction policy and practice. Vulnerable communities, especially in developing countries, are forced by the circumstances in which they live to adopt measures based on experience to limit losses from disasters. They often demonstrate extraordinary capacities to prevent such losses. Examples of the merits of incorporating community-based approaches to risk management are numerous, although the adoption of these approaches too frequently faces unnecessary obstacles.
Local authorities need to take decisions based on specific scenarios related to vulnerability to different hazards. Risk-assessment tools for land use planners need to be developed taking into account national and global experiences gained during the previous decade.
In order to create disaster-resilient societies and prevent human, economic and social losses, it is of paramount importance to engage public participation at all levels of implementation of the Strategy for Disaster Reduction.
The ISDR vision can be achieved through 1) public awareness, 2) commitment by public authorities, 3) multidisciplinary and inter-sectoral partnership and networking, and 4) scientific knowledge.
2.2. Public Awareness 
Objective: To increase public awareness of the risks that natural hazards and related technological and environmental disasters pose to societies and economies. Furthermore, to increase awareness of existing solutions to reduce vulnerability to hazards, in order to build a global community dedicated to making risk and disaster prevention a common good. |
|
Background:
Promoting a culture of prevention as advocated by IDNDR requires creative and innovative approaches to disseminate its message and to make it an integral part of an overall planning process, especially targeting communities in disaster-prone countries.
Past disasters have served to raise political awareness of the need to reduce vulnerability. However, practical tools and guidelines are still lacking or insufficient. In order to raise public awareness of disaster reduction, there is a need for standardized and widely known indicators to assess risk and implement early warning systems and mitigation programs.
Disaster reduction starts from the understanding of the elements of risk: hazard, vulnerability and resilience. Progress has been made during the IDNDR in building awareness on these issues and this has led to political commitments and to the incorporation of disaster reduction concepts into national development plans. However, many factors continue to increase the vulnerability of societies worldwide to the forces of nature. There is an increasing demand from these societies for concrete application of disaster reduction policies and practices.
In this respect, the sharing of experience and lessons learned between local communities, cities, countries and regions is an effective way to increase public awareness. It has enabled many vulnerable communities to apply best practices and techniques to both risk management and disaster reduction.
Issues to be addressed:
- Developing sustained programmes of public information.
- Including disaster prevention in educational programs and curricula at all levels.
- Institutionalizing training programmes on hazards and their impact, risk management and disaster prevention practices for all age-groups.
2.3 Commitment by public authorities 
Objective: To obtain commitment by public authorities to reduce risks to people, their livelihoods, social and economic infrastructures, and the environment, with special attention given to the poor.. |
|
Background:
Public authorities face a major challenge in transforming political declarations of support into action. The "Culture of Prevention" should therefore aim at people in decision-making positions in national governments as well as local authorities. The ISDR provides a platform to further develop the basic principles of multi-disciplinary and inter-sectoral involvement, engaging both officials responsible for policy formulation as well as those responsible for implementation.
The assignment of responsibility for disaster reduction varies according to national legislation and local regulations. However, joint approaches between local authorities, technical entities and communities to assess risk and to prepare scenarios and action plans have proved useful. Effective action requires constant dialogue, mutual understanding, co-ordination and co-operation between the various entities.
Building commitment to disaster-reduction policies includes joint scenario planning and economic incentives for local mitigation. Once established at the local level, such initiatives can be consolidated at the national and global level.
Many of the disaster reduction activities initiated at the local level have influenced action at the global level, and vice versa. Therefore, there is a mutually enforcing relationship between activities carried out at different levels.
Issues to be addressed:
- Engaging relevant public authorities, community leaders, private entrepreneurs and experts in partnerships, to ensure the reorientation of the allocation of resources to facilitate the incorporation of disaster reduction components in relevant development projects and programmes.
- Identifying innovative funding involving private and public sectors, so as to support continued commitment to risk management and disaster prevention work.
- Linking efforts of disaster reduction more closely with the Agenda 21 implementation process for enhanced synergy with environmental and sustainable development issues. In this context, periodic reviews of accomplishments in hazard, risk and disaster reduction efforts relating to policy planning, institutional arrangements, and capacity building at all levels should be undertaken by public authorities. Post disaster evaluation from a disaster reduction perspective should also be carried out.
- Reducing severe and recurrent disasters, by promoting a proactive interface between natural resources management and risk-reduction practices;
- Developing and applying risk-management strategies and measures at all levels bearing in mind the specific requirements of the poor, urban concentrations and agricultural sectors.
- Facilitating the improved coordination of international and inter-agency efforts and promoting coordination of activities on the regional and especially national levels across sectors in policy-making, planning and implementation of disaster-related initiatives.
2.4 Multidisciplinary and inter-sectoral partnerships and networking 
Objective: To stimulate multidisciplinary and inter-sectoral partnerships and expand risk reduction networks by engaging public participation at all stages of the implementation of the ISDR |
|
Background:
Throughout the IDNDR, and particularly in recent years, the IDNDR National Committees and Focal Points proved to be key organizational mechanisms in many countries by expanding the understanding and perceptions of disaster reduction and increasing the opportunities for association of diverse professional interests committed to the subject.
These bodies, which are multi-disciplinary and inter-sectoral in nature, made an important contribution in developing national strategies for their countries and served as a basis for sub-regional, regional and international cooperation with regard to natural disaster reduction. They also contributed to the overall awareness of the need for disaster reduction.
However, the proliferation of actors in the field of disaster reduction in recent years calls for reviewing and re-committing appropriate forms of local, national and regional platforms for disaster reduction in order to fulfill the objectives of the ISDR. Enhanced partnerships and networking are required in order to ensure cooperation, complementarity of action, synergy and solidarity between governments, private sector, civil society, academia and international agencies.
It is therefore necessary to build on and amend existing structures in the field of disaster reduction by involving as many partners as possible to develop a sense of ownership of the ISDR among actors involved in disaster reduction worldwide and to generate a culture of prevention.
Issues to be addressed:
- Strengthening and/or building national, sub-regional, regional and international coordination mechanisms and networks for information exchange, and promoting collaborative arrangements that can increase disaster reduction capacities.
- Emphasizing the critical relationship between risk reduction and economic growth in order to ensure sustainable development.
2.5 Scientific knowledge 
Objective: To enhance scientific knowledge of the causes of disasters and the effects of natural hazards and related technological and environmental disasters on societies as well as to facilitate its wider application to reduce the vulnerability of disaster-prone communities. |
|
Background:
There has been remarkable progress in the field of technology over the past 50 years, and it is expected that the pace of change will continue to increase dramatically in the decades ahead. Risk reduction practices should benefit from this process. Knowledge, especially scientific and technical research and its application, plays a key role in the development of disaster resilient societies.
Technological change and advances in research are expanding opportunities for the improvement of risk assessment, information exchange, disaster-resilient engineering, education, training and early warning, which are essential elements of an effective disaster reduction strategy.
Considerable progress has been made over the last ten years in the translation of scientific and technical knowledge into local, national and regional level disaster prevention strategies. As shown in its Final Report (IDNDR, 1999), the Scientific and Technical Committee (STC) of the International Decade for Natural Disaster Reduction played an important role in supporting the application of Science and Technology in disaster prevention.
However, further solutions need to be found to facilitate the transfer of technology, including South-South transfer in the application of research, science and technology to disaster reduction. As in the case of public awareness, horizontal exchanges of experience and approaches between local communities, cities, countries and regions could increase capacities and promote the transfer of knowledge.
Research, Science and Technology are crosscutting issues with regard to disaster reduction. Their promotion and application in this area remains a key challenge in building a safer world in the 21st Century.
Issues to be addressed:
- Establishing internationally and professionally agreed indicators, standards and methodologies for the analysis and assessment of the environmental and socio-economic impacts of disasters on societies. This would include the quantification of the impact of actual and projected disasters in order to provide the basis for determining insurability and vulnerability indicators and up-front economic investment in prevention;
- Developing and applying standard forms of statistical recording of risk factors, disaster occurrences and their consequences, to enable the development of a cohesive disaster database for monitoring purposes, consistent comparisons and comprehensive risk assessments to be integrated within development plans;
- Promoting research and its application, developing indigenous capabilities and supporting the transfer of knowledge and the exchange of information and experiences among countries with a view to better understanding the characteristics of natural hazards and the causes of natural disasters;
- Stimulating the application of research on socio-economic determinants of vulnerability, on resilience and coping strategies in public policies and practices and on the improvement of the early warning in respect of natural disasters;
- Establishing national, sub-regional/regional and global database and information exchange facilities dedicated to disaster reduction, supported by agreed communication standards and protocols, adequate mechanisms for the control of scientific quality as well as social and cultural appropriateness;
- Increasing opportunities for scientific and technical contributions to public decision making for risk management and disaster prevention drawing from the widest possible range of expertise.
3. AREAS OF COMMON CONCERN 
In pursuing the objectives mentioned above, special attention will be given to areas of common concern including:
- Incorporating the recognition of the special vulnerability of the poor in disaster reduction strategies
- Environmental, social and economic vulnerability assessment with special reference to health and food security;
- Ecosystems management, with particular attention given to the implementation of Agenda 21;
- Land use management and planning, including appropriate land use in at-risk rural, mountain and coastal areas, as well as unplanned urban areas in megacities and secondary cities;
- National, regional and international legislation with respect to disaster reduction.
4. MODALITIES 
The approach used to realize the ISDR vision should be coherent and initiatives undertaken under each objective should be based on the following modalities:
- Advocacy;
- Coordination;
- Horizontal exchanges of information, knowledge and experiences;
- Mainstreaming of disaster reduction in sustainable development and in national planning processes;
- Regional and national capacity building with special emphasis on developing countries.
5. TASKS MANDATED BY SEPARATE RESOLUTIONS 
Background:
In its resolutions (A/Res/54/220) and (A/Res/54/219) respectively, the General Assembly requested the successor arrangements to the IDNDR to continue international cooperation on El Niño and the strengthening of disaster reduction capacities through early warning.
These two multisectoral, interdisciplinary and cross-cutting issues will be addressed within the ISDR as outlined above by giving special emphasis to the following:
- Policy formulation and inter-agency coordination;
- Scientific cooperation and technology transfer;
- Transformation of existing knowledge into action;
- Sharing of knowledge and information; and
- Promotion of the establishment of risk-monitoring capabilities and early warning systems as integrated processes, with particular attention being given to emerging hazards with global implications, such as those related to climate variability and change.
PART II
IMPLEMENTATION OF THE ISDR BY THE INTER-AGENCY TASK FORCE AND THE SECRETARIAT FOR THE ISDR 
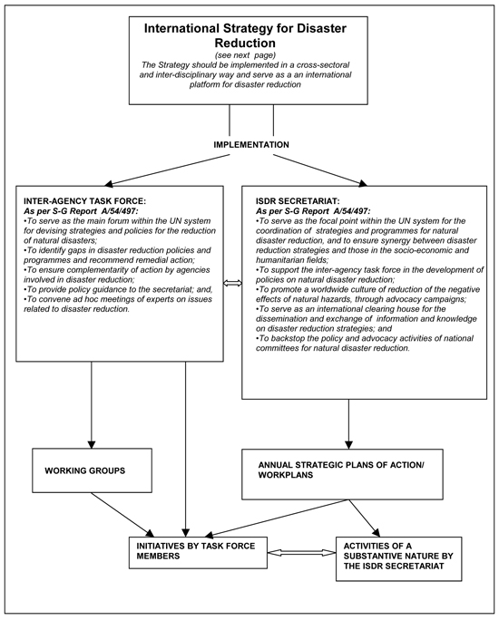
The ISDR, as detailed in the first part of this document, will be implemented in a cross-sectoral and inter-disciplinary manner and serve as an international platform for disaster reduction. Such implementation will be carried out bearing in mind the need to focus not only on disaster response but to aim at an all-encompassing approach to the management of risk through the integration of risk reduction into sustainable development. While all relevant actors involved in disaster reduction activities are called upon to contribute to the implementation of the ISDR, the Inter-Agency Task Force and the secretariat for the ISDR have been assigned special mandates described in the report of the UN Secretary General on the Successor Arrangements for the International Decade for Natural Disaster Reduction (A/54/497) and endorsed by General Assembly Resolution A/54/219. Moreover, discussions of the Inter-Agency Task Force during its first meeting led to specific understandings concerning allocation of tasks between these two constituent elements of the ISDR.
The Inter-Agency Task Force 
The Task Force, which reflects a tripartite arrangement, is chaired by the Under-Secretary General for Humanitarian Affairs and composed of representatives of United Nations agencies, civil society, NGO's and regional entities. Except for United Nations agencies, members of the Task Force rotate every two years to ensure both continuity of work and increased participation of relevant entities representing regional and civil society interests. Upon request, Governments, organizations not designated among the Task Force members, interagency bodies and experts may participate in the Task Force meetings as observers.
Functions and responsibilities as set out in Secretary General’s report A/54/497
- To serve as the main forum within the United Nations system for devising strategies and policies for the reduction of natural hazards;
- To identify gaps in disaster reduction policies and programmes and recommend remedial action;
- To ensure complementarity of action by agencies involved in disaster reduction;
- To provide policy guidance to the secretariat; and
- To convene ad hoc meetings of experts on issues related to disaster reduction.
Working groups
The role of the Task Force is to ensure the implementation of the International Strategy for Disaster Reduction with the active participation of the Task Force members. In doing so, the Task Force may decide to create ad hoc working groups for those areas mandated by relevant UN General Assembly Resolutions or identified by the Task Force as a common concern. The working groups will comprise Task Force members and non-Task Force members. The working groups operate with the support of the secretariat for the ISDR, and prepare recommendations to be submitted to the Task Force for review.
Initiatives
The Task Force, based on its mandated roles, will elaborate initiatives of an operational nature to be implemented under the leadership of member organizations of the Task Force and their partners as a contribution to the overall implementation of the Strategy. .
Activities by individual Task Force members
The Task Force members, working through the organizations that they represent and their respective operational partners, are important vehicles for advancing the objectives of the Strategy, together with other local, national, regional and international organizations. Task Force members and organizations will benefit from the ISDR platform to promote their own activities in disaster reduction and ensure complementarity with other activities in this field. Members of the Task Force should mobilize support for the ISDR within their own entities, including by facilitating the adoption of decisions relevant to the implementation of the Strategy.
The secretariat for the ISDR 
The secretariat for the ISDR has been established as a flexible structure with core staff composed of a small number of professionals and managed by a Director under the direct authority of the Under-Secretary General for Humanitarian Affairs. Staff additional to the core staff can be considered on the basis of special funding for specific activities to be carried out by the Secretariat in connection with its key functions. The ISDR Secretariat is funded exclusively through voluntary contributions..
Functions and responsibilities as per Secretary General’s report A/54/497
- To serve as the focal point within the United Nations system for the coordination of strategies and programmes for natural disaster reduction, and to ensure synergy between disaster reduction strategies and those in the socio-economic and humanitarian fields;
- To support the inter-agency task force in the development of policies on natural disaster reduction;
- To promote a worldwide culture of reduction of the negative effects of natural hazards, through advocacy campaigns;
- To serve as an international clearing house for the dissemination and exchange of information and knowledge on disaster reduction strategies; and
- To backstop the policy and advocacy activities of national committees for natural disaster reduction.
ISDR funding
The Secretariat for the ISDR will raise funds to cover the costs of its mandated functions and selected activities to be carried out under its auspices in collaboration with other partners. Funds raised in this manner will be channeled through the ISDR Trust Fund established for this purpose.
Annual strategic plans of action
The Secretariat will support the implementation of the ISDR by formulating annual strategic plans of action/workplans delineating activities of a substantive nature to be carried out within specified timeframes.
ANNEX 
ISDR FRAMEWORK FOR ACTION
“ to proceed from protection against hazards to the management of risk through the integration of risk reduction into sustainable development”

International Strategy for Disaster Reduction
based on the IDNDR experience, the Yokohama Strategy and the Strategy “A Safer World in the 21st Century: Disaster and Risk Reduction”
